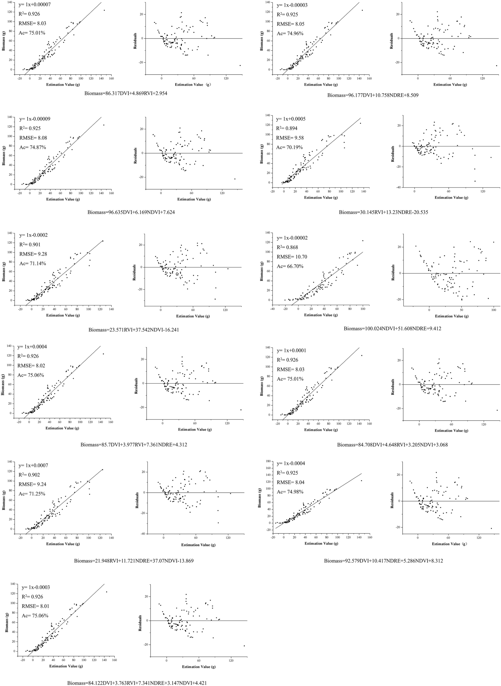
Fig. 7From: Biomass estimation of cultivated red algae Pyropia using unmanned aerial platform based multispectral imagingRegression models and their residuals-analysis plots based on combined vegetation indices (n = 80)Back to article page