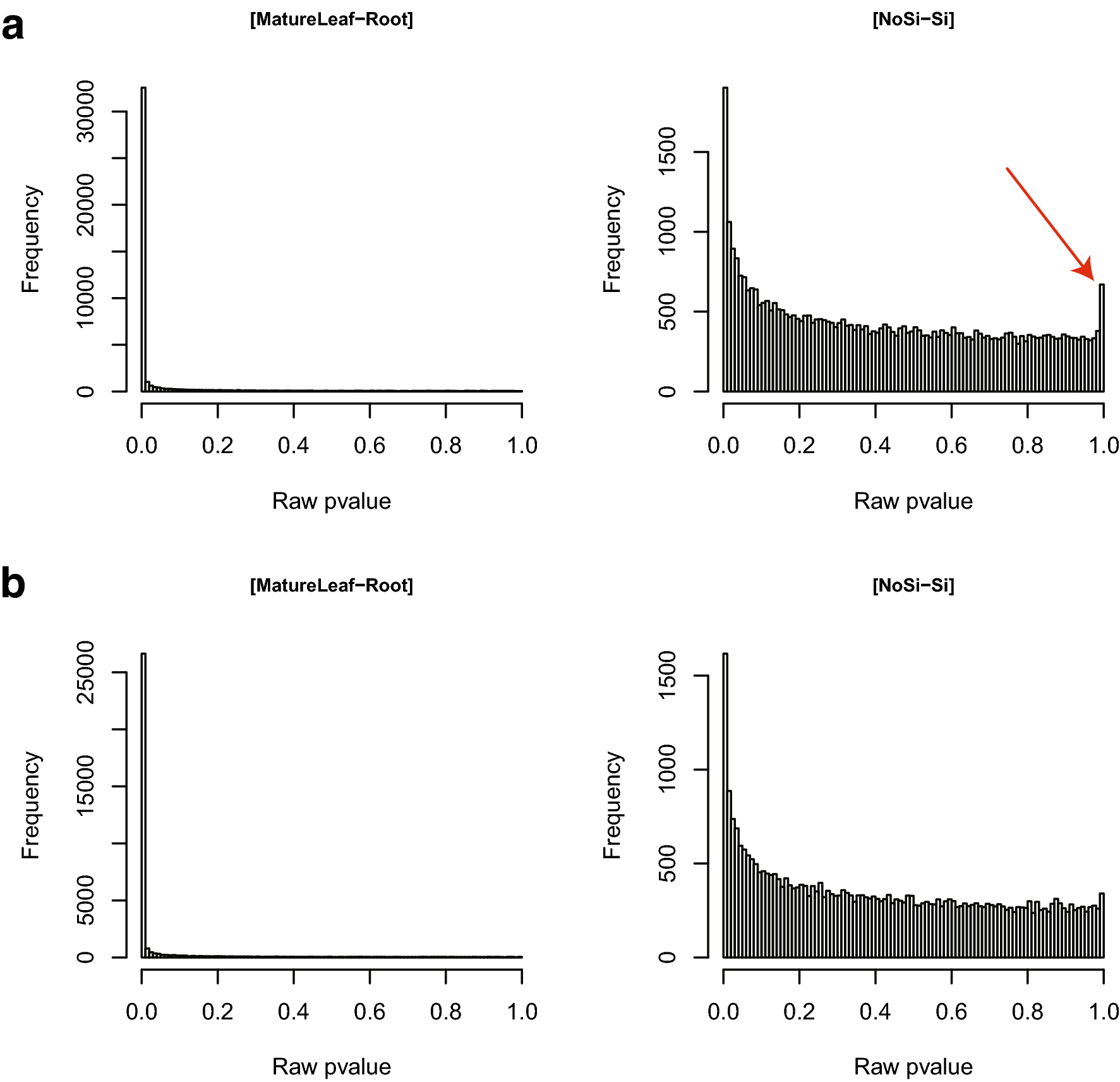
Fig. 3

Histograms of raw p-values Brassica napus analysis. Histograms of the raw p-value for the contrasts [MatureLeaf–Root] and [NoSi–Si] according to the CPM_Cutoff parameter when the filtering strategy is NbConditions a CPM_Cutoff = 1 (default argument). b CPM_Cutoff = 5